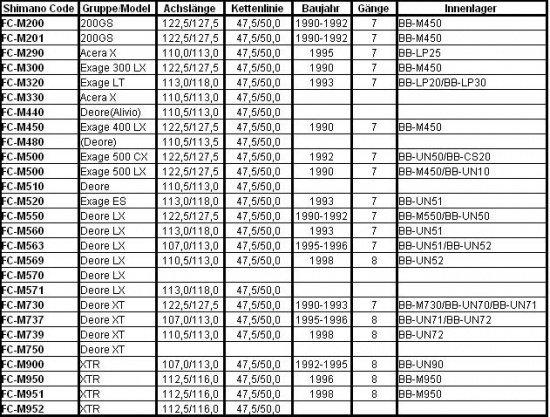
Shimano Achslaengen
Mehr Fotos von diesem Benutzer:
07
Spengle VR-Achse
3937127775 5d1be206d8
Diamant TourSport 1962 Neuaufbau 01
Shimano Achslaengen
Giant Bronco ATX 880 01
Giant Bronco ATX 880 02
German A Center X + Werkzeug Eigenbau 04
German A Center X + Werkzeug Eigenbau 03
German A Center X + Werkzeug Eigenbau 02

Shimano Achslaengen

Noch keine Kommentare.

nächstes Foto vorheriges Foto L Gefällt mir S Einbetten I Aufnahmedaten O Weitere Aktionen

Foto-Infos

maxim-DD
11.07.2012, 11:31
?
702
0

Benutzer auf diesem Bild

  • Noch keine User markiert.

Teilen und einbetten

Einbetten mit BBCode oder HTML

Bildgrößen

Foto melden